- 2025/04/10
- 21111
- 161
一、川普對等關稅實施重點
美國總統川普所提出的「對等關稅」(Reciprocal Tariffs)概念,是其「美國優先」(America First)經濟政策的重要一環,主張若他國對美國商品課以高關稅,美國也應對等課徵相同或相似的關稅,以確保貿易公平。
2025年1月20日,川普簽署《美國優先貿易政策America First Trade Policy》總統備忘錄,指示將調查美國每年龐大且持續存在的貨品貿易逆差的原因,包括此類逆差對經濟與國家安全的影響與風險,並檢視其他國家的任何不公平貿易行為。
2025年2月13日,川普簽署《對等貿易與關稅Reciprocal Trade and Tariffs》總統備忘錄,指示聯邦行政機構制定一項全面性計畫,調整美國貿易關係的公平性,並規劃對所有貿易夥伴實施對等關稅,以應對其他國家對美國的不公平貿易關係。
2025年4月2日,針對調查結果,川普宣布新的關稅措施,包括對所有進口商品徵收10%的基礎關稅,並對與美國存在貿易逆差的國家則施加更高的「對等」關稅。包括對主要貿易夥伴中國徵收34%、歐盟20%、越南46%、台灣32%、日本24%、印度26%、南韓25%等幅度不一關稅,並於4月9日開始生效。(4月10日川普宣布針對未實施報復性措施、且已致電的75個國家暫停關稅政策90天,僅徵收10%對等關稅)。
表1、美國對等關稅實施國家及其稅率
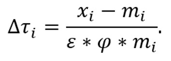
根據美國貿易代表署所公布的關稅計算公式,美國計算「將美國對i國的貿易逆差降為0所需加徵的關稅∆τi」的公式如下所示:
xi = 美國對i國的出口
mi = 美國對i國的進口
xi - mi = 美國對i國的貿易逆差
ε= 貿易彈性,即人們的進口支出對於進口品價格的彈性,設定值為-4
φ= 關稅轉嫁率,即關税上升一元會導致進口價格上升幾元的比例,設定值為0.25
美國最終公布的對等關稅,為計算出來的所需關稅∆τi的一半。以台灣為例,按照美國政府的統計(與後文使用之我國貿易數據統計規則不同),2024年美國自台灣進口總額為1,187億美元,出口台灣金額為423億美元,因此按照美國的計算方式,美國若欲將對台灣的貿易逆差降為0,所需加徵的關稅為:
因此實際對台灣徵收的關稅為64%的一半,也就是最後川普所公布的32%。然而該公式實際上缺乏經濟理論基礎,且這樣的計算方式不只忽略了各國與美國貿易內容的差異,也忽略了匯率隨之變動的影響,而轉嫁率φ的參數設定,更是被美國貿易代表署所引用的論文原作者—哈佛大學商學院教授Alberto Cavallo發文澄清,表示關稅轉嫁到進口價格的轉嫁率φ的精確數字應為0.945,而非美國貿易代表署所設定的0.25,導致最終關稅遭到嚴重高估。
二、整體影響
(一) 我國對美出口產品以工業產品為主
我國去(2024)年對美出口貨品總值1,113.6億美元,占整體出口總值的23.4%。工業產品達1,104.7億美元,占對美出口總值99.2%。
1. 資通訊及電子零組件為主要對美出口產品
對美出口貨品中,主要為資通訊產品達679.5億美元(包括伺服器、筆記型電腦、無線通訊設備及顯示卡等),其次為電子零組件達86.2億美元(包括積體電路(IC)及記憶體等),二項合計達765.6億美元,占輸美工業產品69.3%。其他重點產品還包括汽車零組件(車體組件、車用大燈)、螺釘螺帽等。
2. 主要出口美國產品大多適用ITA 0%關稅
在WTO的資訊科技協定(ITA)下,我國出口美國的主力產品(如表2所示)如資通訊和電子零組件關稅皆為0%,以其平均毛利不高於25%來看,將無法承受32%關稅,增加的成本將由進、出口商、零售通路及消費者共同吸收。
3. 越南、泰國等台廠布局國家亦遭課高關稅
除了台灣遭課32%高關稅外,近年台廠因為中國+1議題擴大朝東南亞國家布局,但在越南、泰國分別遭課徵46%及36%高關稅情況下,亦將對已分散布局台廠造成衝擊。
4. 日韓關稅低於我國
我國主要競爭對手國如日本、南韓,關稅均低於我國(分別為24%及25%),即使製造成本相仿,但關稅差距將使我價格競爭力被壓縮,導致訂單有流失的可能。
5. 半導體暫時豁免,但川普已再次預告課徵晶片關稅
此次半導體暫免關稅,但與AI伺服器、PC、通訊設備相關整機與組裝端產品仍會受到實質衝擊,如終端需求下滑,亦將間接影響IC出貨與晶圓代工業務。同時川普已表示很快會開徵晶片關稅。
6. 美國成份達20%可豁免對等關稅,但仍視美方實際上如何認列
依據4月2日美國白宮行政命令之附件提到,如產品內的「美國成分」(U.S. content)占進口貨品報關價值的20%以上可豁免對等關稅,僅對「非美國成分」課徵對等關稅。然在實際操作上,需要由進口商提交包括產品成本明細與報價單、供應鏈來源證明等文件給美國海關,並經其認定後才可豁免。
表2、我國前十五大對美國出口貨品分析
(二) 對台灣產業總體影響
1. 貿易面:
- 出口競爭力下降:關稅提高會使台灣產品在美國市場價格上升,削弱相對於其他競爭國(如墨西哥、南韓等)的競爭力,台灣出口美國的產品將面臨訂單流失與價格壓力。
- 價格敏感度高產業優先遭遇衝擊:如消費性電子產品因單價不高,價格競爭激烈,將優先遭遇高關稅衝擊,其中尤以中小企業缺乏跨國生產據點的布局調度能力,受影響程度將更大。
- 出口結構轉變:關稅壓力下台廠可能嘗試經由第三地轉運(改變原產地),將導致貿易流重新配置,台灣對美直接出口可能下降,轉向其他市場或中轉出口。
- 如情況持續惡化將衝擊我國總體出口動能:美國對等關稅及各國可能隨後的報復政策如形成惡意螺旋,勢將衝擊全球經濟成長動能,我國對外貿易依存度高,最終衝擊將不僅限於出口美國市場的產品,恐為全面性的出口衰退。
- 匯率再平衡效果可望抵銷部分關稅衝擊:美國對等關稅若使得美國進口金額大幅減少,美元勢必面臨升值壓力,將抵銷部分關稅衝擊,但很可能會引來美國施壓各國匯率政策。
2. 投資面:
- 恐驅使產業鏈再次調整:對台高關稅可能促使企業加速將生產基地移往美國或其他較低關稅國家(如墨西哥),不僅導致企業資本支出增加,亦可能排擠原先在台灣的投資規劃。
- 對外商吸引力降低:台灣在全球供應鏈中的角色若因關稅政策被削弱,國際資金投資台灣的意願可能下滑。
3. 技術面:
- 可能影響企業在臺灣研發能量投入:我國企業赴美投資設廠,如為配合客戶布局或滿足當地政府要求,研發中心與人才培育資源也可能隨之外移,造成台灣本土創新能量被稀釋。
- 技術升級壓力加重:一但關稅成本難以轉嫁,台灣企業為維持競爭優勢,可能需要加速投入技術升級轉型,以提升附加價值來對抗關稅壓力,但短期內資源配置與快速克服技術落差將是挑戰。
- 關稅衝擊產業生態系可能造成技術缺口:美國對等關稅若嚴重衝擊我國部份廠商之生存,尤其是抗衝擊能力較差之中小企業,將可能使我國產業生態系出現缺口,影響產業創新生態與競爭力。
IEKView
川普出乎預期的高額對等關稅已引發全球貿易夥伴的強烈反應,目前各國政府均在尋求與美談判空間,亦有包括中國在內的國家採取報復性措施,導致全球市場動盪。許多研究機構和企業領袖均對此政策表示擔憂,認為可能會推高消費者價格,並對全球經濟增長產生負面影響。
對台灣而言,對等關稅將重塑台美經貿格局。如無法透過談判爭取減輕關稅,短期內台灣可能面臨出口下降,進而連累經濟成長與產業升級壓力。美國則需承擔進口成本上升與部分供應鏈中斷風險。目前台灣啟動金融支援與外交協商;美國則暫時排除戰略產品或保留豁免空間以避免自傷。中長期而言,雙邊供應鏈預期將出現結構性調整與多元化布局。台灣企業將進一步提升附加價值並開拓多元市場;美國企業則將調整供應策略並推動生產回流。
雖然相關情勢仍在演變,但以川普欲藉由關稅收入以達成管理美國債務及重塑美國工業基礎目標下,可以預期未來10-25%的關稅恐將成為常態並長期存在,企業應及早擬定在新關稅環境下的調整策略,以降低衝擊並規劃長期發展方向。




